Vijesti
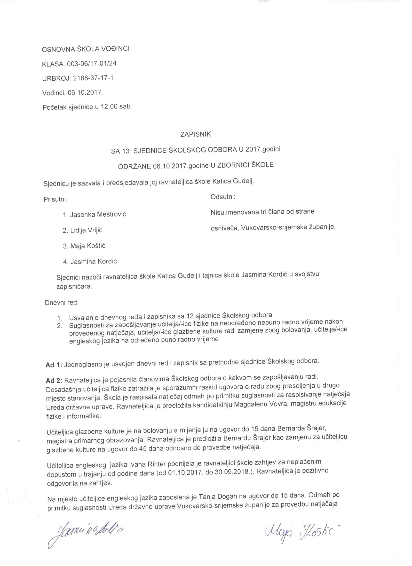
Zapisnik sa 13.sjednice Školskog odbora
Autor: Jasmina Kordić, 12. 10. 2017.
Priloženi dokumenti:
Zapisnik_sa_13._sjednice_Sk.odbora_str.1.jpg
(424.14 KB)
Zapisnik_sa_13._sjednice_Sk.odbora_str.2.jpg
(133.19 KB)
Zapisnik_sa_13._sjednice_Sk.odbora_str.1.jpg
(424.14 KB)
Zapisnik_sa_13._sjednice_Sk.odbora_str.2.jpg
(133.19 KB)
Tražilica
Na današnji dan...
Dokumenti
Priloženi dokumenti:
FINANCIJSKI PLAN 2019.xls
Procedura pracenja i naplate prihoda (1).docx
FINANCIJSKI IZVJESTAJ.xls
FINANCIJSKI PLAN.xls
PLAN NABAVE.xls
PR-RAS.xls
16-437-002-10186-BIjeske.xls
PRIJEDLOG FINANCIJSKOG PLANA.xls
PLAN NABAVE.za 2018.xls
Financijski izvjestaj 2017..xls
REBALANS.za 2017.xlsx
FINANCIJSKi PLAN 2018.xls
skolski kurikulum - OS Vo inci - Vukovarsko-srijemska zupanija.docx
Financij.izvjestaj 2018..xlsx
Fin.plan za 2020. – .xlsx
Fin.plan za 2021. – .xlsx
Financijski izvjestaj 2019..xls
16-437-002-10186 Bi.xls
Godisnje izvjesce.pdf
Prorac od 1.1.2020. - 31.12.2020..xls
Predlozak PlanaNabave (1).xls
Fin.plan za 2022. – .xlsx
Obrazlozene fin.plana.docx
Financij.izvjestaj 2021..xls
Biljeske.xls
Obrasci financijskih izvjestaja v 8.0.2.xlsx
Fin.plan za 2023. .xlsx
Biljeske (2).xls
Financijski izvjestaj za 2022.god. v 8.0.3 (1).xlsx
Financijski izvjestaj 1.1.2023.-30.6.2023..xlsx
Biljeske.docx
Prijedlog financijskog plana.xlsx
tablica financijski plan 2024. skole.xlsx
16 OS Vo inci Vo inci GPP 2023.docx
16 OS Vo inci Vo inci KUR 2023.docx
Financijski plan 2024. skole.xlsx
Plan nabave 2024..xlsx
Obrasci financijskih izvjestaja v 8.1.3.xlsx
16-437-002-10186-Bi.docx
Obrasci financijskih izvjestaja 1-6 2024.xlsx
Statut 2024..docx
Fin.plan 2025.god..pdf
Rebalans 2024..pdf
Plan nabave 2025..xlsx
Obrasci financijskih izvjestaja 1.1.2024.-31.12.2024..xlsx
Financijski izvjestaj 1-6 2025.xlsx
Izmijenjena verzija plana javne nabave.xlsx
FINANCIJSKI PLAN 2019.xls
Procedura pracenja i naplate prihoda (1).docx
FINANCIJSKI IZVJESTAJ.xls
FINANCIJSKI PLAN.xls
PLAN NABAVE.xls
PR-RAS.xls
16-437-002-10186-BIjeske.xls
PRIJEDLOG FINANCIJSKOG PLANA.xls
PLAN NABAVE.za 2018.xls
Financijski izvjestaj 2017..xls
REBALANS.za 2017.xlsx
FINANCIJSKi PLAN 2018.xls
skolski kurikulum - OS Vo inci - Vukovarsko-srijemska zupanija.docx
Financij.izvjestaj 2018..xlsx
Fin.plan za 2020. – .xlsx
Fin.plan za 2021. – .xlsx
Financijski izvjestaj 2019..xls
16-437-002-10186 Bi.xls
Godisnje izvjesce.pdf
Prorac od 1.1.2020. - 31.12.2020..xls
Predlozak PlanaNabave (1).xls
Fin.plan za 2022. – .xlsx
Obrazlozene fin.plana.docx
Financij.izvjestaj 2021..xls
Biljeske.xls
Obrasci financijskih izvjestaja v 8.0.2.xlsx
Fin.plan za 2023. .xlsx
Biljeske (2).xls
Financijski izvjestaj za 2022.god. v 8.0.3 (1).xlsx
Financijski izvjestaj 1.1.2023.-30.6.2023..xlsx
Biljeske.docx
Prijedlog financijskog plana.xlsx
tablica financijski plan 2024. skole.xlsx
16 OS Vo inci Vo inci GPP 2023.docx
16 OS Vo inci Vo inci KUR 2023.docx
Financijski plan 2024. skole.xlsx
Plan nabave 2024..xlsx
Obrasci financijskih izvjestaja v 8.1.3.xlsx
16-437-002-10186-Bi.docx
Obrasci financijskih izvjestaja 1-6 2024.xlsx
Statut 2024..docx
Fin.plan 2025.god..pdf
Rebalans 2024..pdf
Plan nabave 2025..xlsx
Obrasci financijskih izvjestaja 1.1.2024.-31.12.2024..xlsx
Financijski izvjestaj 1-6 2025.xlsx
Izmijenjena verzija plana javne nabave.xlsx
Dokumenti za prikaz
Anketa
Sviđa li vam se ova stranica?
Korisni linkovi
| Korisni linkovi |
Brojač posjeta
Ispis statistike od 2. 9. 2013.
Ukupno: 964714
Ovaj mjesec: 256
Ovaj tjedan: 1448
Danas: 256
Ukupno: 964714
Ovaj mjesec: 256
Ovaj tjedan: 1448
Danas: 256
.png)



